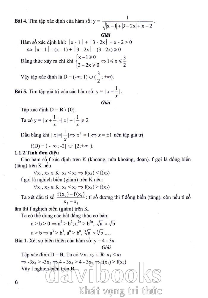
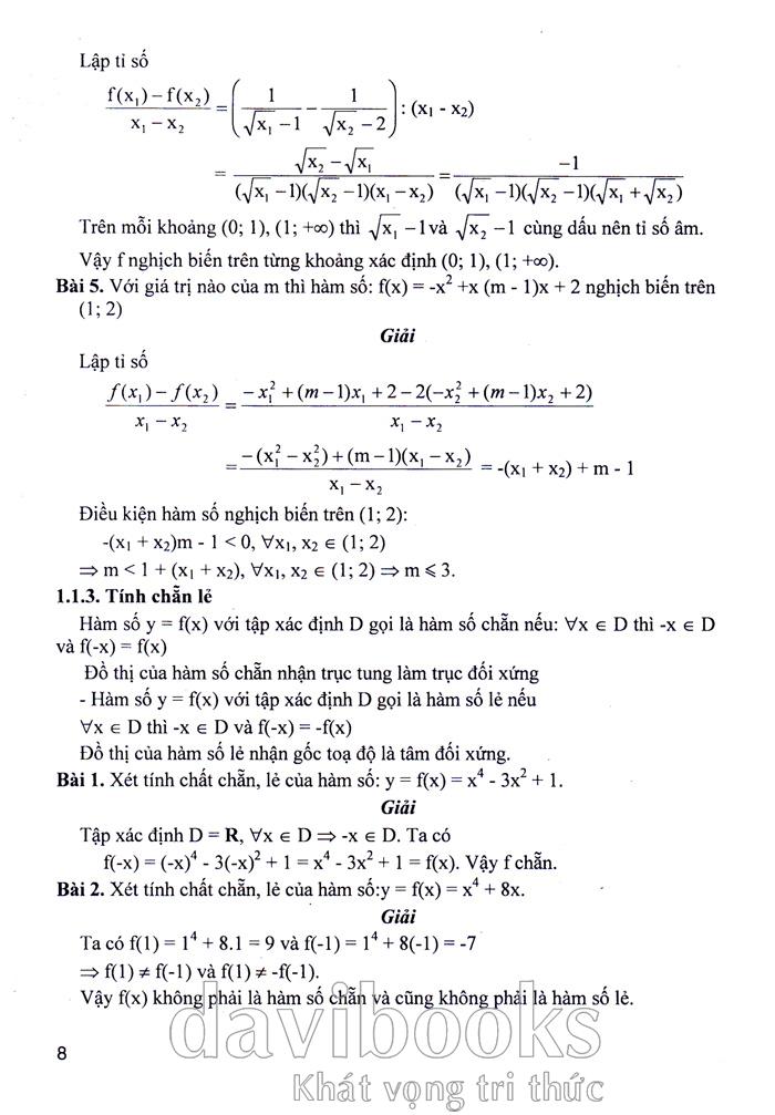
Xem trích đoạn
 
 

Lịch sử duyệt web

Thiên Mã
48.000 VNĐ

Sản phẩm mua cùng